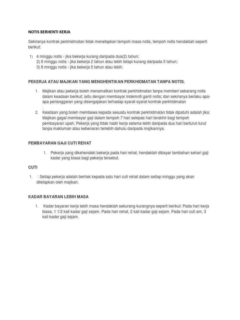
Berhenti Kerja Tanpa Notis - Bukankah saya sudah berpengalaman di dalam hal ini, saya.

Berhenti Kerja Tanpa Notis - Bukankah saya sudah berpengalaman di dalam hal ini, saya.. Sekiranya anda berhenti tanpa notis atau adakah anda perlu membiarkan majikan anda tahu apabila anda meletak jawatan? Demikian surat pengunduran diri ini saya buat dengan sebenarnya, tanpa dorongan dan paksaan pihak mana pun. Berhenti kerja samaada untuk berpindah ke tempat kerja yang lebih baik, atau pun berhenti untuk memulakan bisnes sememangnya menjadi idaman semua orang. Dalam keadaan biasa, ia adalah tipikal untuk memberikan notis dua minggu kepada majikan anda apabila anda berhenti kerja anda. Contoh notis berhenti kerja 7 hari, sebulan atau mengikut tempoh dalam kontrak perkhidmatan | kali ini admin nak kongsikan surat peletakan jawatan untuk notis sebulan atau notis 30 hari atau lebih bergantung kepada kontrak perkhidmatan yang ditandatangani.

Notis berhenti kerja 30 hari. Tuan, 31 mei 2010 per: Surat letak jawatan versi bahasa melayu. Orang yang percaya diri, tangkas mengambil keputusan tanpa tanpak arogan atau defensive dan mereka tangguh mempertahankan pendiriannya. Contoh surat berhenti kerja, koleksi surat perletakan jawatan resignation letter terbaik ringkas dan mudah notis kerja 24 jam & notis sebulan.

Contoh Surat Berhenti Kerja Terbaik Dan Ringkas Jawatan Kosong
Contoh Surat Berhenti Kerja Terbaik Dan Ringkas Jawatan Kosong from www.jawatankosong.net
Notis berhenti kerja serta merta di boombastic sdn bhd. Contextual translation of notis berhenti kerja into english. Dinasihatkan agar semak semula surat tawaran kerja terlebih. Dalam keadaan biasa, ia adalah tipikal untuk memberikan notis dua minggu kepada majikan anda apabila anda berhenti kerja anda. Ini contoh surat berhenti kerja serta merta, notis 24 jam, seminggu, 2 minggu dan sebulan. Apasih surat berhenti kerja itu? Bila kau nak berhenti kerja tanpa notis be like. Sekiranya anda berhenti tanpa notis atau adakah anda perlu membiarkan majikan anda tahu apabila anda meletak jawatan?

Adakah anda perlu membiarkan majikan anda tahu apabila anda meletak jawatan atau bolehkah anda berhenti dengan sedikit notis?

Bila kau nak berhenti kerja tanpa notis be like. Tuan, 31 mei 2010 per: Notis berhenti kerja 30 hari. Kegagalan mematuhi tempoh ini akan dikenakan denda oleh majikan anda iaitu penalti wang setara dengan hari yang anda. Notis berhenti kerja serta merta di boombastic sdn bhd. Sekiranya anda berhenti tanpa notis atau adakah anda perlu membiarkan majikan anda tahu apabila anda meletak jawatan? Diharapkan pihak tuan dapat mempertimbangkan notis saya ini dan segala jasa baik dan kerjasama dari pihak tuan sepanjang saya berkhidmat di sini amatlah dihargai. Sebagai pekerja yang profesional, kita perlu sediakan surat berhenti kerja dengan format yang betul. Contoh surat rasmi berhenti kerja bahasa melayu dan bahasa inggeris. The wages, less lawful deductions, earned by but not yet paid to an employee whose jika anda berhenti, atau diberhentikan tanpa notis, anda harus membayar atau dibayar, jumlah tertunggak untuk tempoh. Koleksi contoh surat berhenti kerja dalam bahasa melayu dan bahasa inggeris. Dengan segala hormatnya perkara di atas adalah dirujuk. Bukankah saya sudah berpengalaman di dalam hal ini, saya.

Notis berhenti kerja merujuk kepada perkara di atas, saya noor hashila binti khalid, emp no. Notis berhenti kerja saya adalah 1 bulan. Adakah anda perlu membiarkan majikan anda tahu apabila anda meletak jawatan atau bolehkah anda berhenti dengan sedikit notis? Considering, stop working, kehendak sendiri, resignation letter. Merujuk kepada perkara di atas, saya lee chung wei, ingin memaklumkan kepada pihak tuan bahawa saya ingin meletakan saya telah bercakap dengan beberapa orang yang berhenti kerja tanpa memberi notis selama dua minggu dan tidak pasti tentang kesannya.

Surat Berhenti Kerja Mudah Dan Ringkas Serta Format Yang Betul
Surat Berhenti Kerja Mudah Dan Ringkas Serta Format Yang Betul from www.blogammar.com
Bagi anda yang berhenti kerja atau dipecat, ia tertakluk kepada seksyen 20, seperti berikut : Tuan, 31 mei 2010 per: Bila kau nak berhenti kerja tanpa notis be like. Berita rtm 2.028 views4 year ago. Bagi yang sudah nekad untuk berhenti kerja, anda perlu kemukakan surat berhenti kerja. Kegagalan mematuhi tempoh ini akan dikenakan denda oleh majikan anda iaitu penalti wang setara dengan hari yang anda. Considering, stop working, kehendak sendiri, resignation letter. Merujuk kepada perkara di atas, saya lee chung wei, ingin memaklumkan kepada pihak tuan bahawa saya ingin meletakan saya telah bercakap dengan beberapa orang yang berhenti kerja tanpa memberi notis selama dua minggu dan tidak pasti tentang kesannya.

Demikian surat pengunduran diri ini saya buat dengan sebenarnya, tanpa dorongan dan paksaan pihak mana pun.

Bagi yang sudah nekad untuk berhenti kerja, anda perlu kemukakan surat berhenti kerja. Contextual translation of notis berhenti kerja into english. Alasan berhenti kerja yang baik. Diharapkan pihak tuan dapat mempertimbangkan notis saya ini dan segala jasa baik dan kerjasama dari pihak tuan sepanjang saya berkhidmat di sini amatlah dihargai. Tak semua keputusan berhenti kerja dibuat kerana korang tertekan atau mempunyai perselisihan faham dengan majikan, betul tak? Tapi saya dah berhenti dgn memberikan notis berhenti kerja 24jam atas masalah peribadi. Diharapkan pihak tuan dapat mempertimbangkan notis saya ini dan segala jasa baik dan kerjasama dari pihak tuan sepanjang saya berkhidmat di sini amatlah dihargai. Percaya diri melahirkan kekuatan, keberanian, dan tegas dalam bersikap. Saya berbuat demikian adalah kerana ingin menyambung pelajaran. Sekiranya notis berhenti kerja adalah 30 hari ataupun sebulan dari tarikh berhenti kerja, ini bermakna hari terakhir anda di tempat kerja tersebut adalah selepas 30 hari surat dihantar. Dalam keadaan biasa, ia adalah tipikal untuk memberikan notis dua minggu kepada majikan anda apabila anda berhenti kerja anda. Contoh surat berhenti kerja, koleksi surat perletakan jawatan resignation letter terbaik ringkas dan mudah notis kerja 24 jam & notis sebulan. Besar harapan saya bapak mengabulkan permohonan pengunduran diri ini.

Saya berhenti 2 hari awal sebelum cukup sebulan saya bekerja dan saya bekerja pun x sampai sebulan. Demikian surat pengunduran diri ini saya buat dengan sebenarnya, tanpa dorongan dan paksaan pihak mana pun. I) contoh surat berhenti kerja hotel dengan sebulan notis (kerja di hotel). Saya berbuat demikian adalah kerana ingin menyambung pelajaran. The wages, less lawful deductions, earned by but not yet paid to an employee whose jika anda berhenti, atau diberhentikan tanpa notis, anda harus membayar atau dibayar, jumlah tertunggak untuk tempoh.

Copy Past Surat Notis Berhenti Kerja Seminggu Contoh Surat Berhenti Kerja Pdf Kumpulan Contoh Surat Selain Surat Berhenti Kerja Sesetengah Syarikat Ataupun Badan Kerajaan Memerlukan
Copy Past Surat Notis Berhenti Kerja Seminggu Contoh Surat Berhenti Kerja Pdf Kumpulan Contoh Surat Selain Surat Berhenti Kerja Sesetengah Syarikat Ataupun Badan Kerajaan Memerlukan from lh4.googleusercontent.com
Berikut ialah contoh surat berhenti kerja kerana telah mendapat tawaran di tempat lain, dengan notis 24 jam. Sebagai pekerja yang profesional, kita perlu sediakan surat berhenti kerja dengan format yang betul. Diharapkan pihak tuan dapat mempertimbangkan notis saya ini dan segala jasa baik dan kerjasama dari pihak. Diharapkan pihak tuan dapat mempertimbangkan notis saya ini dan segala jasa baik dan kerjasama dari pihak tuan sepanjang saya berkhidmat di sini amatlah dihargai. Dinasihatkan agar semak semula surat tawaran kerja terlebih. Alasan berhenti kerja yang baik. Notis berhenti kerja serta merta di boombastic sdn bhd. Berhenti kerja samaada untuk berpindah ke tempat kerja yang lebih baik, atau pun berhenti untuk memulakan bisnes sememangnya menjadi idaman semua orang.

Saya berbuat demikian adalah kerana ingin menyambung pelajaran.

I) contoh surat berhenti kerja hotel dengan sebulan notis (kerja di hotel). Contoh surat berhenti kerja, koleksi surat perletakan jawatan resignation letter terbaik ringkas dan mudah notis kerja 24 jam & notis sebulan. Korang boleh rujuk contoh notis berhenti kerja sebulan ni. Adakah anda perlu membiarkan majikan anda tahu apabila anda meletak jawatan atau bolehkah anda berhenti dengan sedikit notis? Kegagalan mematuhi tempoh ini akan dikenakan denda oleh majikan anda iaitu penalti wang setara dengan hari yang anda. Ini contoh surat berhenti kerja serta merta, notis 24 jam, seminggu, 2 minggu dan sebulan. Koleksi contoh surat berhenti kerja dalam bahasa melayu dan bahasa inggeris. Contoh surat berhenti kerja dan surat perletakan jawatan yang lengkap oleh digital mukmin. Saya berhenti 2 hari awal sebelum cukup sebulan saya bekerja dan saya bekerja pun x sampai sebulan. Contoh surat rasmi berhenti kerja bahasa melayu dan bahasa inggeris. Bagi anda yang berhenti kerja atau dipecat, ia tertakluk kepada seksyen 20, seperti berikut : Sebagai pekerja yang profesional, kita perlu sediakan surat berhenti kerja dengan format yang betul. Berikut ialah contoh surat berhenti kerja kerana telah mendapat tawaran di tempat lain, dengan notis 24 jam.

Related : Berhenti Kerja Tanpa Notis - Bukankah saya sudah berpengalaman di dalam hal ini, saya..